Il contributo delle armature inclinate nella verifica a taglio

Qualche tempo fa nell’articolo la verifica a taglio nel cemento armato abbiamo visto come calcolare il taglio resistente di elementi in cemento armato dotati di staffe verticali e di come trovare la relativa cotangente di teta. In questo articolo invece vedremo come calcolare il contributo delle armature trasversali aventi inclinazione compresa tra 90° e 45°.
Le armature infatti possono essere costituite sia da staffe che da barre piegate; in ogni caso il 50% delle armature trasversali devono essere costituite da staffe (punto 4.1.6.1.1 NTC08).

Elementi dotati di sole armature inclinate
Anche per le armature inclinate possiamo massimizzare il taglio resistente derivato dalla barre inclinate andando ad equilibrare VRrd e VRcd ricavando cosi la cotq che deve essere comunque compresa tra 1 e 2,5:
image


Valore di VRd per diversi valori degli angoli a e q
a=90°
a=60°
a=45°
cotq=1,00 0,500ac0,5fcd∙b∙d 0,788ac0,5fcd∙b∙d 1,000ac0,5fcd∙b∙d
cotq=2,50 0,345ac0,5fcd∙b∙d 0,425ac0,5fcd∙b∙d 0,483ac0,5fcd∙b∙d
N.B.:la normativa impone che la metà dell’'armatura trasversale sia composta da staffe (punto 4.1.6.1.1 NTC08). 


Elementi dotati di staffe ed armature inclinate a 45°
La normativa non spiega bene come comportarsi quando siamo in presenza sia di staffe che di barre inclinate ma cercando un po’ in giro ho trovato questo procedimento che credo sia corretto:
  • dato il taglio agende sulla sezione VEd mi calcolo il taglio resistente dato dalla sezione in c.a. armata a taglio dalle sole staffe verticali con il metodo illustrato in questo articolo;
  • trovo il DVEd dovrà essere assorbito dalle barre inclinate dato da DVEd=VED-VRds (dove VRds è il taglio resistente dalla dalla sezione armata con le sole staffe verticali.)
  • Si calcola il taglio resistente massimo a compressione del puntone di calcestruzzo con cotq=1:

VRd,MAX(cotq=1)=0,9 d ac b 0,5fcd


  • Si calcola il valore dell’angolo θ che il puntone, secondo il traliccio di Morsh forma con l’orizzontale imponendo la rottura bilanciata:


DVEd cot2q – VRd,MAX cotq + DVEd - VRd,MAX

           se cotq>2,5 si utilizza cotq=2,5.

  • si calcola il passo di piegatura delle barre piegate sb
    image
  • Si fissa il passo di piegatura minore od uguale o sb e si calcola il valore dell’angolo q definitivo:
    image se cotq >2,5 si utilizza cotq=2,5.


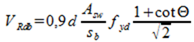
  • Infine si calcola il taglio ultimo resistente delle barre piegare VRd,b:

image
       che sommato al taglio resistente delle staffe dovrà essere superiore a VEd.

A presto Braian.

Altri post che potrebbero interessarti



1 commento:

  1. Credo che la formula della rottura bilanciata debba essere:

    ΔVEd•(ctgϑ)^2–2•VRd,MAXctg(ϑ=1)•ctgϑ+ΔVEd=0


    RispondiElimina

Nota. Solo i membri di questo blog possono postare un commento.